主办方:合作
官方网站:
有这样一个神秘方程。它看上去精致优雅,学起来令人头大。曾有无数学子怨恨它抽象难懂,却又最终被它的神通广大改变了世界观。
诞生之初,它是一种解题方法,意在将热学问题中复杂的数学运算变得简单。推广之后,它的名气却盖过了它最初服务的那道难题。
它的应用之广,可以处理图片,也可以解读星空,可以帮忙建造不易倒塌的房子,也可以深度参与金融数据分析。无论是混杂的信号,还是复杂的卷积,都可以被它的魔法驯服,变得清晰明了、简洁高效。
这就是伟大的傅里叶变换。如果用方程写一部科学史,傅里叶变换必然拥有位置,这不仅仅是因为它本身足够精彩,也因为它和另一些伟大的方程存在密切的关系。

一、拆解万物的傅里叶
傅里叶变换为什么如此有用?因为它是拆解万物的绝佳工具。
无论是探索事物,还是解决问题,在理工科领域,人们往往会从研究对象的数学模式入手。声音、振动、图像、星光……找到它们的函数化身,就意味拨开表象,看到骨骼。
傅里叶变换拆解的就是这些数学骨骼。它的核心思想是,时空中的任何模式都可以被看作不同频率正弦模式的叠加。提供一种信号随时间变化的函数,傅里叶变换可以为你找出其中隐藏的频率信息。
你可以得到一场地震包含的不同振动,去除一段音频中的噪声,还可以解读宇宙微波背景,或是处理图像、完成压缩。

这样的影响力和重要程度,可能连傅里叶本人都大为震惊,尽管在19世纪初提出这种变换的时候,他已经知道自己找到了一件宝物。当时,法国科学院对这项成果的态度有些一言难尽,他们嘉奖了与之相关的公式,但拒绝发表傅里叶的获奖回忆录。
恼怒之下,傅里叶于1822年绕过审查,通过《热解析理论》发布傅里叶变换。两年后,傅里叶以科学院秘书的身份杀了回来,并在科学院声誉卓著的期刊上发表了那篇被拒绝的回忆录。
从正式发表到现在,傅里叶变换走过了两个世纪。从历史的角度看,两个世纪不算太长,但新成果总是建立在旧成果的基础上。对傅里叶变换做一番最直接的拆解,我们就能越过它闪亮登场的19世纪,追溯更加遥远的过去。
二、人人都爱微积分
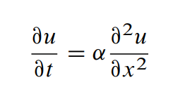
谈到傅里叶变换,微积分是一个绕不开的话题。这不仅仅是因为变换式本身涉及积分,还因为傅里叶最初提出这种变换,是为了解这样一个方程——

u(x, t)表示一根金属杆在时刻t,位置x处的温度,常数α则是热扩散率。可以看出,这个方程关注的是温度的变化情况。
以现代人的眼光来看,用导数研究变化是一件顺理成章的事。这当然是因为微积分已经完全进入了我们的生活。然而此前很长一段时间里,学者们往往需要先估算不同时段的平均状态,再推测物体状态的整体变化规律。
微积分诞生于17世纪,恰逢理性时代崛起,一位科学巨匠迎来了他的奇迹之年。当时,躲避瘟疫的牛顿在家乡农场完成了几项震撼世界的物理学研究,在解决这些问题的过程中,他找到了一种先进的数学工具,将极限思想引入针对变化的表达和计算——

在发表之后,微积分也一度深陷争议,只不过这次,争论的最大焦点不是“这个行不行”,而是“这是谁发明的”。在同一时期,另一位科学伟人莱布尼茨从另一条途径找到了相同的方法。
从此,“谁才是微积分之父”几乎成了火药桶的引信,一不小心就会引来激烈的争吵。媒体管家上海软闻
然而,如果继续了解两人之前的研究,就会发现人类对无穷和极限的兴趣由来已久。到了1656年,沃利斯的《无穷的算术》已经提出了微积分的前身,而费马则在1679年的《论曲线的切线》中提出了和微积分密切相关的重要问题。微积分的诞生呼之欲出,历史很可能同时选择了牛顿和莱布尼茨,这是巧合,也是必然。
三、不走寻常路的虚数
在傅里叶变换中,另一个不可不说的组成部分是虚数单位i——

在很多人的印象中,虚数是一个比较新鲜的概念,毕竟它的定义透着一种不走寻常路的朋克风格——这东西居然是负数开方的产物。
事实上,虚数在历史上很像一个幽灵概念。很早以前就有学者发现,如果假设负数也能开方,一些走进死胡同的方程就可以找到出路。
后来,出于实用,也出于好奇,人们便开始尝试使用虚数。不过,包括笛卡儿和牛顿在内,早期数学家都将虚数解释为问题没有解的标志。即便是对虚数给予厚望的莱布尼茨,也并不清楚它到底是什么。
到了17—19世纪初,情况逐渐转变。数学家们提出了复平面,虚数和实数出现在了同一张图上,它不再是个摸不着影的概念。

当然还有更重要的,那就是18世纪中期发表的欧拉公式。

当z=π的时候,这个式子更加惊为天人。

就这样,虚数i将数学中最著名的两个数字e和π融合在了一个优雅的等式中。一切豁然开朗,后世物理学家费曼称之为:“我们的珍宝”和“数学中最非凡的公式”。
媒体管家在科学世界的背景中飘了几百年,虚数最终被主流所接受,并且在19世纪开始大展拳脚,同微积分搭配使用更是能产生意想不到的效果。到了今天,复变函数与积分变换也成了诸多理科生的头疼之源必修法宝。
四、古老又年轻的三角函数
傅里叶变换里还有一个部分,其重要性不低于虚数和微积分,它是谁?就是连小学生都知道的三角函数。
回到傅里叶变换的核心思想:时空中的任何模式都可以被看作不同频率正弦模式的叠加。三角函数在这里充当了拆解后的元件,小巧精致,简洁明了。三角函数当然也是数学世界里的宝物,它历史悠久且从未过时。
不妨先说说为什么会有三角函数:因为直角三角形符合这样一个规律:

这就是毕达哥拉斯定理,它至少有两千年历史。甚至有证据表明,在学者将它总结并书写下来之前,这个规律就已经在匠人之间传播了。它是三角学的基础,也是三角函数的基础。
古人之所以热衷于研究三角学,很大程度上是看中了它对估测巨型实物的帮助,典型应用涉及天文、测绘、航海。从古希腊、古印度,到后来的阿拉伯世界和欧洲,三角学在传播和发展中见证了文明的兴衰。
然而,传统应用往往将三角学局限于具体的几何问题。如果想在更广阔的领域发挥作用,三角函数就需要更灵活的定义。
随着解析几何和分析学的出现,人们的视角开始转变。终于,欧拉在18世纪发表了《无穷分析引论》,提出用直角坐标系中的单位圆重塑三角函数的定义。
接下来,这些由来已久的概念开始和复数搭档,在级数中出现,于是故事又回到了前面提到过的欧拉公式,当然还有我们言之不尽的傅里叶变换。
关于傅里叶变换,能说的趣事还有很多。比如,傅里叶的热方程和达朗贝尔的波动方程十分神似却又大不相同;比如,傅里叶变换的不同形式;比如,傅里叶与小波,等等。
事实上,每一个方程都是串在历史脉络上的珍珠,它们都是珍宝,也都是寻找其他珍宝的提示。
科学的发展环环相扣,很多改变世界的方程都有着密不可分的关系。了解它们的过程像读故事,也像探案,当线索汇集一处,指向未来的时候,你领悟到无法言说的精彩——


